2021年12月24日 星期五
返回报网首页
|
版面导航
|
上一期
下一期
|
往期阅读
日
一
二
三
四
五
六
当前版: 10版
上一版
下一版
上一篇
下一篇
放大
缩小
默认
朗读
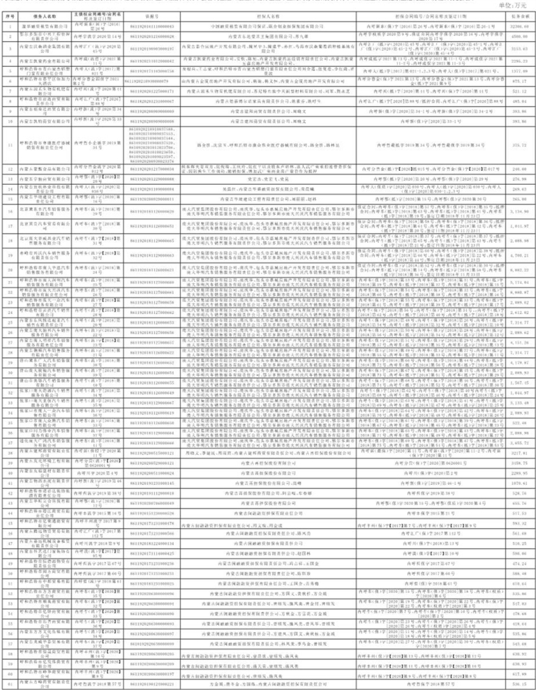
内蒙古银行股份有限公司呼和浩特分行逾期贷款催收公告
根据内蒙古银行股份有限公司清收不良资产行动方案安排,经我行多次催告,截至2021年12月14日,债务人仍未履行清偿义务,为维护我行合法权益,根据国家法律法规、司法解释规定,以及相关合同规定,对下列逾期债务予以公告催收,请以下借款人及保证人、抵押人资本公告刊登之日起立即履行偿还本息的义务,否则我行将采取相应法律措施依法追究法律责任。特此公告!
上一篇
下一篇
分享到
QQ空间
新浪微博
人人网
腾讯微博
豆瓣
0
标题导航
内蒙古银行股份有限公司呼和浩特分行逾期贷款催收公告
~~~
第01版:一版要闻
第02版:内蒙古·综合
第03版:内蒙古·首府
第04版:特别关注
第05版:内蒙古·人物
第06版:健康
第07版:中国·综合
第08版:世界·综合
第09版:中国·关注
第10版:广告
第11版:广告
第12版:广告
第13版:广告
第14版:声音
第15版:娱乐汇
第16版:劲爆体坛
内蒙古银行股份有限公司呼和浩特分行逾期贷款催收公告