2023年12月19日 星期二
返回报网首页
|
版面导航
|
上一期
下一期
|
往期阅读
日
一
二
三
四
五
六
当前版: 06版
上一版
下一版
上一篇
下一篇
放大
缩小
默认
朗读
公 示
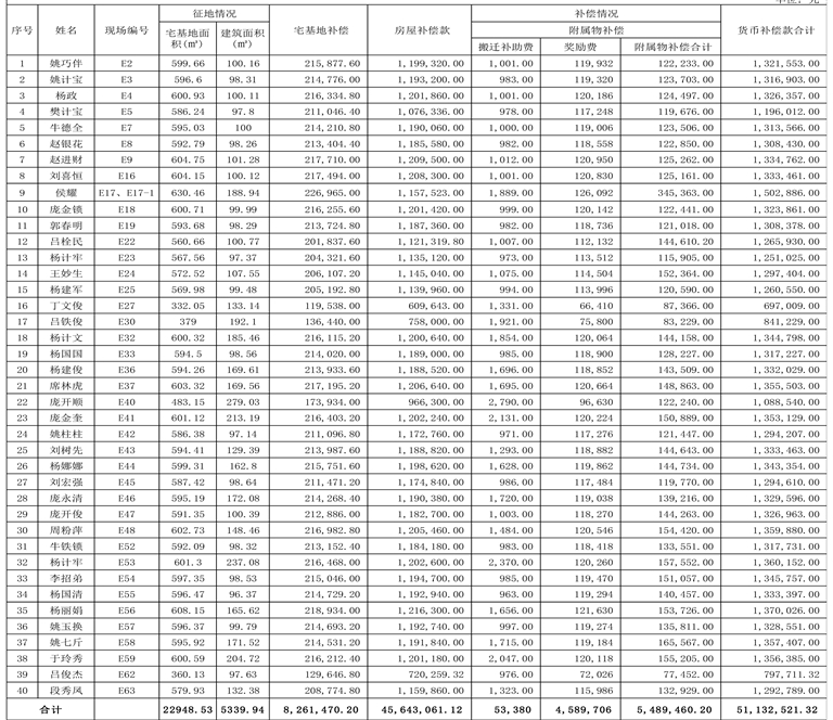
该地块位于京藏高速路以南、石门沟村以东(马鬃山二期项目),涉及房屋征拆补偿协议40份(不含未补偿的协议),现将补偿情况公示如下。公示期为7天,如有异议,可在公示期间内向呼和浩特市赛罕区投资促进中心反映情况并提供相关佐证材料。如无异议,公示期结束后,我中心将按相关规定逐级上报。联系人:梁国强 联系电话:0471-2631032 电子邮箱:2513255954@qq.com
上一篇
下一篇
分享到
QQ空间
新浪微博
人人网
腾讯微博
豆瓣
0
标题导航
世界羽联总决赛:国羽两冠!
~~~
公 示
~~~
第01版:一版要闻
第02版:发布
第03版:广告
第04版:城事
第05版:天下
第06版:体坛/广告
第07版:健康
第08版:风铃
世界羽联总决赛:国羽两冠!
公 示